招商中心
适用于联众药械圈小程序,可发布和管理招商产品,查看代理申请等。
药直聘
适用于药直聘小程序,可发布和管理招聘职位,查看简历申请等。

联众药械圈 - 会员中心

切换账号密码登陆

联众药械圈 - 会员中心

切换手机验证码登陆

联众药直聘 - 会员中心

切换账号密码登陆
整体市场下滑12%,这些产品却逆势猛增,最高涨7倍

时间:2021-05-20 09:04 │ 来源: 药筛 │ 阅读:1289

在集采、疫情、控费三重暴击下,2020年医院药品销售出现首次负增长,而且是两位数的,2020年,大部分医药人的日子不好过啊。


图片


不过,我在分析医院市场产品销售数据时发现,有很多品种销售逆势大涨,大体分为4种类型:


第一类是明“新”品种,主要是最近上市的进口、国产新药。近几年医保政策调整,对此类药物还是非常open,通过谈判等方式,及时纳入医保,帮助这些品种上市初期,销售就能快速增长。


典型品种如安罗替尼、奥希替尼、信迪利单抗等。

图片

图片


第二类是一些独家品种。主要是上市已久的老牌新药,市场培育多年,在医保政策支持下,销售迎来显著增长,如艾普拉唑、利拉鲁肽等。

图片

图片


第三类是临床需求大,但竞争厂家少,还未被集采的品种。代表品种如乙二醇化重组粒细胞刺激因子、亮丙瑞林等。


图片

图片

图片


最有趣的是第四类,主要是临床使用多年老品种,以前市场销售不愠不火,但最近几年突然爆发,原因让人捉摸不透。


如艾地苯醌片,国内仅有齐鲁和海王两企业,这几年海王药业销售变化不但,但齐鲁迅速增长,2020年已接近5个亿。看了产品的说明书适应症,才恍然大悟,这适应症和神经节苷脂好配。


图片


奥拉西坦没落后,吡拉西坦能顺利接班吗?我看了下,主要是几个没有历史销售的产品,扛起了增长大旗。


图片


氨基己酸批文很多很古老,但有销售记录的只有那几家,看这势头,年销售额很快到10亿。


图片


倍他司汀批文一大堆,但个别企业近几年表现亮眼,这势头还能保持多久?

图片

法莫替丁有曾经的辉煌,但随着同类厂家增多,PPI(拉唑类)的快速发展,这个产品似乎被市场抛弃,然而,到2020年销售额突然猛增到2.7亿,是去年的7倍多,背后原因耐人寻味。

图片


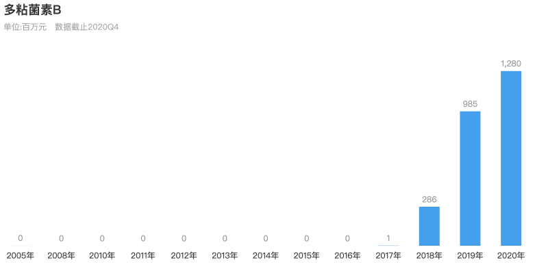
我多列一些产品数据供大家参考,每个品种增长的背后,一定有有趣的故事,知道的朋友,欢迎在留言区讨论。

图片

图片


图片

图片

图片

图片

图片

图片

图片

图片

(数据来源:药海数据)


评论区