招商中心
适用于联众药械圈小程序,可发布和管理招商产品,查看代理申请等。
药直聘
适用于药直聘小程序,可发布和管理招聘职位,查看简历申请等。

联众药械圈 - 会员中心

切换账号密码登陆

联众药械圈 - 会员中心

切换手机验证码登陆

联众药直聘 - 会员中心

切换账号密码登陆
多批次国采,完成情况通报(附具体品种完成情况)

时间:2024-05-31 14:53 │ 来源:赛柏蓝 │ 阅读:1325

江西公布多批次国采执行情况,有集采中选品种完成进度超19倍。


01

非集采中选产品生存空间压缩

 

近日,江西省医保局发布《江西省药品带量采购和使用工作情况通报(2024年4月)》,对国采和省际联盟集采执行情况作出具体说明。

 

图片

 

今年来,国家医保局在多次调研医保工作中,都强调药品耗材集采落地执行。

 

5月20日,国家医保局发布《关于加强区域协同 做好2024年医药集中采购提质扩面的通知》中进一步表示,加强采购执行管理。药品联采办、耗材联采办和全国联采牵头省份要认真组织并督促执行集采中选结果;各省积极支持、密切配合,严格落实集采政策和采购协议,加强中选产品供应协调保障,督促医疗机构按时完成协议采购量,优先使用中选产品。

 

集采执行情况备受关注。赛柏蓝查询江西省官网发现,基本每个季度江西都会公布集采执行进度。

 

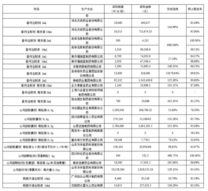
本次江西省主要针对第四批国采、第六批国采(胰岛素)、第八批国采、赣粤豫鄂四省联盟、十六省联盟、河南十四省联盟、第二批中成药联盟在采购数量和金额、中选药完成进度、网上配送率三个方面的情况作出说明。


图片


从中选药品采购总数量占约定采购总量占比来看,江西省这几批集采均100%超额;从采购金额占同品种药品采购金额占比来看,基本在70%以上。集采中选药品对非集采中选药品的替代率较高,非集采中选药品企业生存空间进一步被压缩。


分项目来看,第四批、第六批(胰岛素专项)、第八批均为国采,以第四批为例,在第三个统计周期内,中选药品采购总数量占约定采购总量的297.47%,接近约定采购量的3倍,执行情况远超预期。

 

02

多个大品种表现超预期

胰岛素国采执行情况有待提高

 

江西省对不同批次集采采购情况的一些品种也给出了详细的说明,包括品种的采购数量、采购金额、完成进度、中选药占比、网上配送率。

 

综合各批次集采来看,除了第二批中成药联盟,其余各批次集采完成进度均超过200%。

 

其中不少大品种的表现亮眼,以第八批国采第一季度(2023-06-30至2024-06-30)采购情况为例,阿莫西林克拉维酸钾薄膜衣片(0.375g(2:1)),完成进度达到1915.88%,已经是约定的近19倍;头孢地尼颗粒剂(50mg)完成进度为1139.3%;阿托西班注射液(0.9ml:6.75mg、5ml:37.5mg)两个规格,完成进度高达898.51%;氨曲南注射剂(0.5g、1.0g)两个规格完成进度为790.75%。

 

图片

图片

图片

图片

 

第八批第一季度总体完成采购数量超2.1亿片/支/装,采购金额达到超6亿元,完成进度321.55%,中选药占比达88.55%,网上配送率达90.26%。

 

第六批国采(胰岛素专项)中,也有不少大品种表现优异,如合肥天麦的人胰岛素注射液(3ml:300IU(笔芯)、10ml:400IU)两个规格,完成进度为796.01%,接近约定量的8倍。

 

图片

 

值得注意的是,胰岛素国采中,也不乏一些品种的完成进度较为缓慢,例如江苏万邦生化的精蛋白人胰岛素混合注射液(3ml:300单位、10ml:400单位)两个规格,完成率仅为19.82%;珠海联邦制药股份有限公司中山分公司的精蛋白人胰岛素注射液3ml:300国际单位(10.5mg)(笔芯)的完成进度仅为28.29%。

 

图片

图片

 

可以看出,部分胰岛素的完成进度仍存在问题,而这对全省约定采购量的完成进度或有一定影响。

 

事实上,此前已经有省份反映了胰岛素国采(专项)完成进度不太理想的问题。今年年初,国家医保局发布《关于加强医药集中带量采购中选产品供应保障工作的通知》强调,做好中选产品供应情况监测。

 

图片

 

存在问题的医疗机构和药企,严重地将受到惩戒。

 

不过,从江西各批次集采的中选药品采购金额及数量与同种药品、同品规的比例情况来看,同通用名、同品规下中选产品对非中选产品的冲击仍在加剧。如何让自己的产品拿到集采市场的“入场券”,是药企需要思考的重要问题。


附:

图片

图片

图片

图片

图片

图片

图片

图片

图片

图片

图片

图片

图片

图片

图片

图片


评论区